FT-3400粉體流動行為分析儀(粉體流變儀)
發布時間: 2023-11-26 08:51:22 點擊: 12834
FT-3400粉體流動行為分析儀(粉體流變儀)詳情介紹
FT-3400 Powder flow behavior analyzer
應用說明:
1.通過分析粉體剪切動態數據來描述流動行為表征,粉體工業在加工、存儲、運輸、料倉中常出現拱架/鼠孔結構.
2.物料之間及物料與固體壁面的摩擦.
3.在料斗的設計中,排料口的大小、料斗壁的傾斜角以及粉料對料斗壁的壓力,設計不合理的料斗會給生產造成很大的困難.
4.這些影響粉體流動性的行為特征通過測量粉體內部強度、流動函數、摩擦函數、密度、時間函數等數據定量分析上述現象和狀態.
功能描述:Functional description
功能項目:
預固結處理;瞬態剪切函數;時效剪切函數;壁摩擦函數;時效壁摩擦函數 ;松裝密度函數 ;數據管理與分析;系統管理.
適用范圍Scope of application:

參考標準:
參照ASTM_D6128-97;ASTM D6682-2008;ASTM_D6773-2008;GB/T31057.3-2018附錄B;Jenike方法分析粉體流動行為表征特性

工作原理:
通過自動控制的荷重施加于剪切蓋上;并作用于已知速度轉動的環形剪切盒內樣品上,從而實現樣品與樣品在不同壓力下流動.
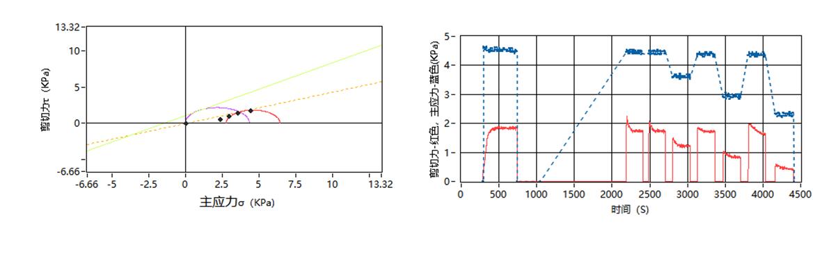
測試和分析數據:
分析和測試如下數據:莫爾應力圓、內摩擦角、主應力、剪切力、屈服軌跡、穩態流、流動函數、開放屈服強度(無側限屈服強度)、內摩擦時間角、時效屈服軌跡、堆積密度、密度軌跡、壁摩擦角、附著力、壁剪切力、壁應力、壁軌跡、運動摩擦角、靜態摩擦角、料倉設計的料斗半頂角、卸料口徑、流與不流判定、流動因子、初始抗剪強度(內聚力)等數據分析.
參數資料
|
項目 |
參數描述 |
備注 |
|
垂直主應力 |
0-100N;分辨率: 0.01kp |
可定制 |
|
扭矩范圍 |
0-10 N.m 分辨率: 0.01kp |
可定制 |
|
3. 剪切速度S |
0.5mm/min~3 mm/min |
|
|
操作運行 |
PC軟件運行 |
|
|
測量方式 |
自動 |
|
|
剪切蓋 |
齒槽蓋和平面蓋,不銹鋼材質 |
|
|
吸塵系統 |
手持式自動吸塵 |
|
|
電腦和打印機 |
客戶自備或選購 |
|
|
樣品整理 |
刮料器 |
|
|
電源power supply |
220V+10% /50Hz |
|
|
剪切盒 |
鋁合金材質 |
|
|
通訊接口: |
USB,RS-232接口 |
|
|
溫濕度范圍: |
8-40℃ 相對濕度在35-80% |
|
|
數據管理 |
數據及圖譜報表生成 |
|
|
系統管理 |
設備參數設定及儀器自我檢測 |
|
|
保護裝置 |
配有急停控制裝置 |
|

標準配置外訂購明細:
|
序號 |
品名 |
單位 |
數量 |
備注 |
|
1 |
電源線 |
套 |
1 |
|
|
2 |
樣品剪切盒 |
套 |
1 |
定制 |
|
3 |
砝碼 |
個 |
1 |
多個規格選購 |
|
4 |
吸塵器 |
套 |
1 |
|
|
5 |
電腦,打印機 |
套 |
1 |
依據需求配置 |
|
6 |
分析軟件 |
套 |
1 |
|
|
7 |
檢測技術服務 |
份 |
1 |
計量證書1份 |
|
8 |
檢測技術服務 |
組 |
1 |
3Q驗證 |
|
9 |
延保服務 |
年 |
1-3 |
|

優點描述:
1. 自動運行.
2. PC軟件分析,數據庫處理.
3. 復雜的運行測量程序
4. 測量到千分位的位移
5. 參考人體工學設計.
6. Jenike方法
軟件操作界面圖



測試報表樣本


測試流程:

專業術語及名詞解釋:
1.專業術語定義:
1).內摩擦角
2).有效內摩擦角
--由Jenike定義的有效屈服軌跡的傾斜角(EYL)。
有效屈服軌跡與橫坐標之間的夾角稱為有效內摩擦角d。它與粉體物料的內摩擦角有關,是衡量處于流動狀態粉體流動阻力的一個參數。當d增加時,顆粒的流動性就下降。對于給定的物體粉料,這個值常常隨密實應力的降低而增大,但密實應力很低時,甚至可達900。對于大多數物料, d值在250到700之間。
流動時,zui大主應力和zui小主應力之比可以用有效屈服軌跡函數來表示:
3).莫爾應力圓-圖形表示正應力和剪切應力坐標系中的應力狀態,即正應力
,
t-平面。
4).正應力
-通常作用于要求平面的應力。也叫固結應力或壓實應力.
5).剪切應力T-平行作用于平面表面的應力。
6).屈服軌跡-失效時剪切應力與正應力的關系曲線。屈服軌跡(YL)有時被稱為瞬時屈服軌跡來區分于時間屈服軌跡。
屈服軌跡由粉體的剪切試驗確定:一組粉體樣品在同樣的垂直應力條件下密實,然后在不同的垂直壓力下,對每一個粉體樣品進行剪切破壞試驗。在這種特殊的密實狀態中,得到的粉體破壞包絡線稱為該粉體的屈服軌跡。
7).有效屈服軌跡(EYL)-直線通過正應力的原點,t-平面,并與穩定狀態的莫爾圓相切,符合給定堆積密度的散裝固體的穩態流動條件.
8).失敗(散裝固體的)-過度固結的散裝固體塑性變形受到剪切,導致膨脹和強度降低。
9).流、穩態-臨界狀態時散裝固體的連續塑性變形。
10).流動函數FF-特定散裝固體的無側限屈服強度和主要固結應力的關系曲線。
有時也稱做開裂函數,是由Jenike提出的,用來表示松散顆粒粉體的流動性能。
松散顆粒粉體的流動取決于由密實而形成的強度。
|
|
當fc=0時,FF=¥,即粉體完全自由流動
流動性的標準分級如下:
FF <1 不流動,凝結
1< FF <2 很粘結,附著性強,流不動
2< FF <4 粘結,有附著性
4< FF <10 容易流動
10< FF 自由流動
影響粉體流動性的因素
? 粉體加料時的沖擊:沖擊處的物料應力可以高于流動時產生的應力;
? 溫度和化學變化:高溫時顆粒可能結塊或軟化,而冷卻時可能產生相變,這些都可能影響粉體的流動性;
? 濕度:濕料可以影響屈服軌跡和壁摩擦系數,而且還能引起料壁黏附;
? 粒度:當顆粒變細時,流動性常常降低,而壁摩擦系數卻趨于增加;
? 振動:細顆粒的物料在振動時趨于密實,引起流動中斷。
11).料斗-料倉結構的融合部分。
12).主要固結應力
-由穩態流的莫爾應力圓產生的zui大主應力。莫爾應力圓相切于有效屈服軌跡。
13).無側限屈服強度
-莫爾應力圓的zui大主應力相切于zui小主應力為零的屈服軌跡。也稱為開放屈服強度fc
在一個筒壁無摩擦的、理性的圓柱形圓筒內,使粉體在一定的密實zui大主應力s1作用下壓實,然后取去圓筒,在不加任何側向支承的情況下,如果被密實的粉體試樣不倒塌,則說明其具有一定的密實強度。這一密實強度就是開放屈服強度fc。
如果粉體倒塌料了,則說明這種粉體的開放屈服強度fc=0。
開放屈服強度fc值小的粉體,流動性好,不易結拱。
14).臨界狀態-散裝固體堆積密度的應力狀態和剪切帶的剪切應力在恒正應力下剪切過程中保持不變.
15).剪切試驗-此實驗通過施加不同狀態的應力和壓力來確定散裝固體的流動性
16).內摩擦時間角
17)時間(時效)屈服軌跡-在一定時間內給定的正應力情況下,散裝固體的屈服軌跡已保持休止一段時間。
18).堆積(松裝)密度
--散裝固體數量除以其總體積的質量。
19).壁摩擦角
-壁剪切應力與壁正應力比率的反正切。是指粉體與壁面之間的摩擦角,壁表面能使粉末滑移必須傾斜的角度,壁面摩擦角一般為10-45度。壁面摩擦角也稱斜槽角。反應了粉體層與固體壁面的摩擦性質。
20).附著力試驗-隨時間固結的靜態壁摩擦試測試
21).壁正應力
- 封閉器壁上出現的正應力。
22).壁剪切應力
-封閉器壁上出現的剪切應力。
23).壁屈服軌跡WYL-壁剪切應力與壁正應力的關系曲線。壁摩擦角由壁屈服軌跡獲得,為壁剪切應力與壁正應力比率的反正切。
24)運動壁摩擦-從測量經過適當剪切的正常應力和穩定狀態剪切來計算。
25)動態屈服軌跡-從測量正應力值和剪應力穩定值來線計算
26)靜壁摩擦-由測量的正應力和屈服開始時的zui大剪切應力計算得出。
27)靜態屈服軌跡-由正應力的測量值和剪切應力的峰值計算得出的線。
服務項目
1.質保:12個月,長期維護.
2.培訓:操作培訓:
電話教學;U盤教學文件;遠程可視溝通;現場教學;說明書教學文件
3.保養和維護:
提供因知保養和維護文件、標識、表格 、保養提醒.
4.驗證文件:
3Q驗證文件、計量證書
5.擴展服務:
延保服務,樣品測試服務,后延服務,儀器租賃服務.
粉體行業本機常用配套方案:
1. 粉體行業常用儀器方案:
水分儀,松裝密度儀,休止角測試儀,粉體流動性測試儀 ,篩分粒度儀,振實密度儀 ,粉末電導率測試儀,體積密度儀.
粉體綜合分析解決方案:
FT-3400粉體流動行為分析儀(靜態力學,剪切法)
FT-7100粉體流動測試儀(動態力學,轉鼓法或旋轉圓筒法)
FT-3900粉末屈服強度分析儀(單軸壓縮法)
FT-3500粉體壓縮強度測試儀(可壓性,壓縮方程)
FT-2000顆粒和粉末特性分析儀系列(傳統方法)
FT-301系列粉末電阻率測試系統(電性能)
企業使命:創新,改變認知,提升品質.
企業愿景:采用新技術,新方法,提升客戶價值,為全員謀福祉.
企業價值觀:修己、求進、創新.
目前經營如下系列產品:
1.粉體、顆粒測試儀器系列:
2.材料電性能測試系列:
3. 流變儀和粘度計系列;
4.熱分析儀器系列.
FT-3400粉體流動行為分析儀 視頻文件鏈接:https://v.youku.com/v_show/id_XNDMxOTc3Nzg3Mg==.html?spm=a2hzp.8253869.0.0
https://v.youku.com/v_show/id_XNDMxOTUyNjM2NA==.html?spm=a2hzp.8253869.0.0
